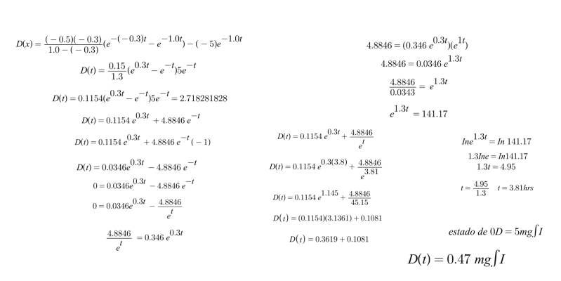
-Calculo
Las ecuaciones de Streeter-Phelps son funciones o modelos matemáticos que relacionan los dos principales mecanismos que definen el oxígeno disuelto (OD) en un cauce de agua que recibe la descarga de aguas residuales como son la descomposición de materia orgánica, y aireación del oxígeno. La cantidad de OD es la variable fundamental a medir para determinar el grado de contaminación por materia orgánica biodegradable de un río, pues bajas concentraciones de oxigeno producen desajustes en el ecosistema, mortalidad de peces, olores y otros efectos desfavorables. Las ecuaciones se centran en determinar cuáles son las condiciones más desfavorables que producen el valor más alto de déficit de oxígeno.
- Modelo matemático:
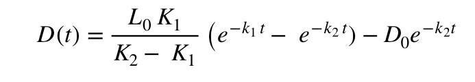
Una de las ecuaciones es:
Donde:
- D(t)= es el déficit de oxígeno en el tiempo t (mg de 02/L)
- L0= demanda bioquímica de oxigeno inicial
- K1= tasa de desoxigenación
- K2= tasa de oxigenación
- D0=déficit de oxigeno inicial
- L0, K1, K2 y D0= son constantes que se obtienen por medidas de laboratorio y dependen de la temperatura, carga contaminante y condiciones hidráulicas
- t= tiempo (horas) después del vertido de aguas residuales
El rio Lerma, ha sido un recurso natural básico para las actividades humanas, sin embargo, recibe descargas de residuos tóxicos industriales y domésticos a lo largo de sus 750 km.
Anteriormente el río Lerma fue un recurso natural de gran importancia para las actividades humanas entre las que sobresalen: la agricultura de riego, pecuaria, pesca y vegetación, así como actividades diarias (lavar, asearse, labores domésticas e incluso para beber). Debido al crecimiento socioeconómico e industrial se ha propiciado el desarrollo de la modificación del entorno; bastante degradado por aguas residuales, domésticas, industriales, y desechos sólidos.
La contaminación del agua provoca que la misma se vuelva peligrosa tanto para su consumo como para uso en general, ya sea a nivel personal o industrial.
El agua contaminada también resulta peligrosa para el resto de las especies de animales y para las plantas y prácticamente todas las formas de vida que dependan de ella.Se han implementado algunos proyectos y acciones en pro de este recurso, sin embargo, no han sido adecuadas y suficientes ya que se requiere de mayor trabajo, esfuerzo y cooperación, campañas realizadas por fundaciones y organizaciones sociales han aportado su granito de arena, sin embargo, se requiere de implementar acciones más concretas y eficaces; es decir en las cuales el beneficio sea mayor y a menor plazo posible ya que es vital retroceder el gran impacto generado.
Estamos a tiempo, salvemos el Rio Lerma, salvemos los recursos hidrológicos, el futuro de los nuestros depende de nosotros.
CONCIENTIZA, PARTICIPA Y COLABORA
- Fuentes consultadas:
- https://infogram.com/contaminacion-del-rio-lerma-1hmr6glvnqw34nl#:~:text=Entre%20los%20compuestos%20que%20se,nacional%20sobre%20las%20descargas%20al
- https://www.scielo.org.mx/scielo.php?script=sci_arttext&pid=S0188-88972007000400003
- https://hgrupoeditorial.com/rio-lerma-fuente-de-contaminacion-y-enfermedades/
Añadir comentario
Comentarios